ByLaws - Sampson Web Page II
Go to content
Main menu:
Home Page
ByLaws & Legal
ByLaws
Court Order
Board Recall
Recall Letter
Petition Form
Meetings
2017
Spring Meering Minutes
Spring Meeting Video
Spring Meeting Audio
Spring Meeting Tresurer Reports
Special Midyear Audit
Spring Meeting Handouts
Planned Agenda
Dave Fishers Address
Proposed Fisher's Procedures
Contracts
Gate
Gate Committee
Gate Photos Options
Gate Accidents Photos
03/16/2015 Photos
08/20/2016 Photos
10/24/2016 Photos
03/16/2017 Photos
Recall Meeting Video 8/19/2017
Recall Meeting Audio 8/19/2017
Recall Meeting Handout 8/19/2017
Fall Meeting Audio
Fall Meeting Video
2016
Fall Meeting Minutes
Fall Meeting Audio
Spring Meeting Audio
Treasurers Report
Audio Billing Method Meeting
2015 Meeting
Fall Meeting Audio
Spring Meeting Lawyer audio
Spring meeting Minutes
2015
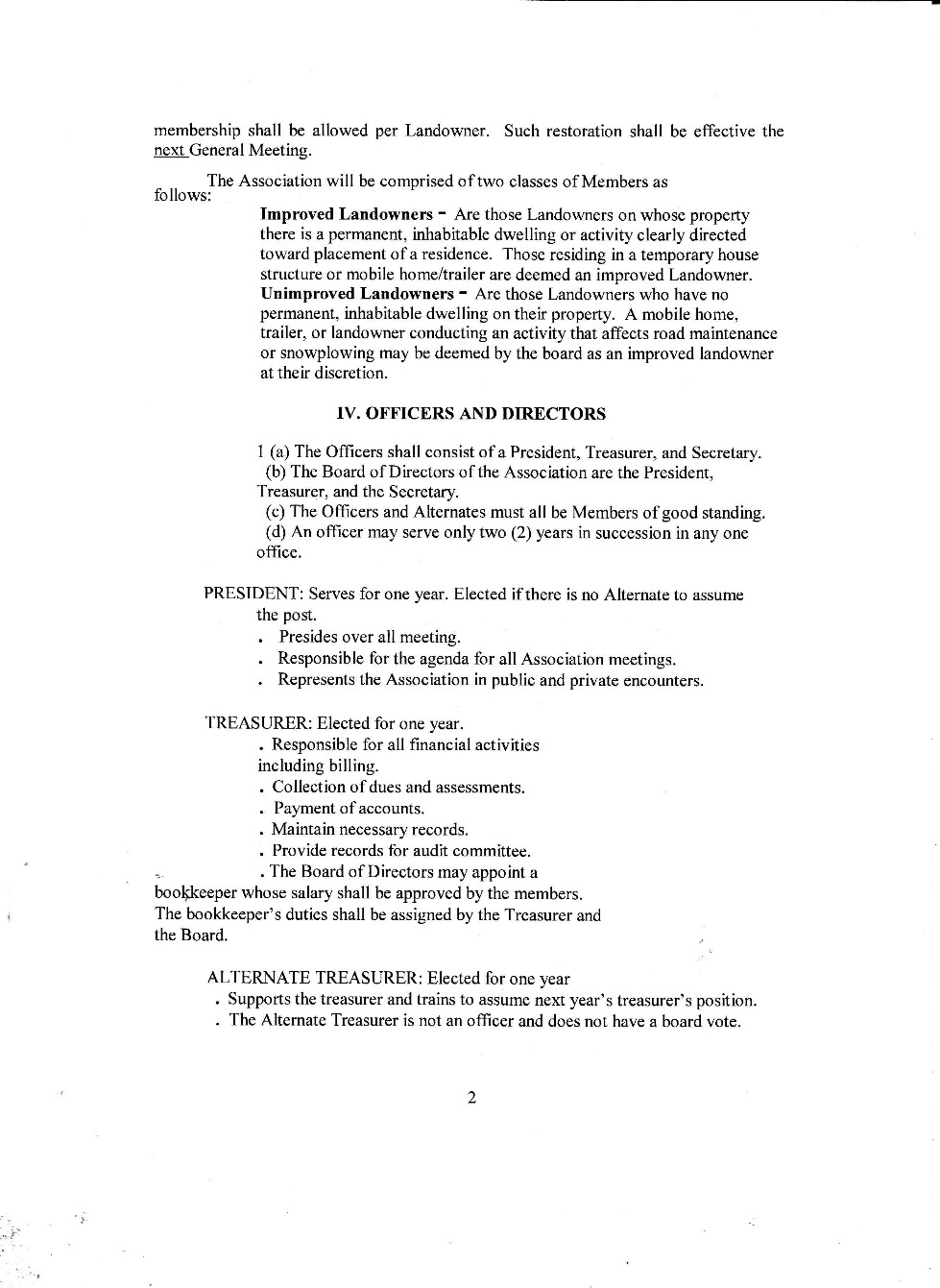
ByLaws
ByLaws & Legal
Home Page
|
ByLaws & Legal
|
Board Recall
|
Meetings
|
General Site Map
Back to content
|
Back to main menu
To use this website you must enable JavaScript